Claude Opus 4.5 leaks for Nov 24 – 80% SWE‑Bench hype meets pricing risk
Stay in the loop
Free daily newsletter & Telegram daily report
Executive Summary
Anthropic’s week starts with leaks, not a launch video. Epoch AI’s model registry briefly listed a new Anthropic entry, “Claude Kayak,” dated 2025‑11‑24 alongside GPT‑5.1 and Gemini 3 Pro, while Poe exposed a private “Claude‑Opus‑4.5” model card behind a direct URL. Put together, the community is treating tomorrow as Opus 4.5 day and bracing for a head‑to‑head with Gemini 3 Pro after its strong physics and coding showings we covered earlier this week.
The twist is that everyone’s staring at two numbers and one line item: a rumored ~80% SWE‑Bench Verified score, METR’s safety evals, and the per‑token price. Power users are blunt that if Anthropic keeps current Opus pricing, even an 80% SWE‑Bench result will feel DOA next to GPT‑5.1 Pro and Gemini 3 Pro, which already own “default coder” mindshare. A fresh GDPval chart doesn’t help: Claude Opus 4.1 is visibly trailing GPT‑5 and some o‑series models on expert preferences.
So Opus 4.5 has a narrow path: it needs a clear quality jump, reassuring METR scores, and a credible cost‑per‑solved‑issue story, not just a pretty benchmark tweet. If Anthropic misses on pricing, expect this release to cement, rather than disrupt, the current Gemini/GPT duopoly in serious engineering stacks.
Top links today
- Framework for consciousness objections in AI systems
- Text genre encoding in LLM activations
- Taxonomy of defenses for indirect prompt injection
- Back to Basics denoising generative models paper
- Dataset distillation for pre-trained vision models
- Reasoning confusion zones in diffusion LLMs
- LLM agents for knowledge-informed feature extraction
- Aligning math tutors with student reasoning
- Zero-shot grammar competency estimation with LLM pseudo labels
- Ensemble deep reinforcement learning for stock trading
- Fortune analysis of AI risk to new graduates
- Reddit walkthrough of NotebookLM statistics slide generator
Feature Spotlight
Feature: Claude Opus 4.5 imminent — leaks, pricing stakes, eval watch
Multiple leaks (Epoch AI table, Poe private page) point to Opus 4.5 landing within 24h; market debate centers on pricing and whether it can re‑enter daily coding stacks; community watches for METR results.
Strong cross‑account signals point to an Opus 4.5 release within 24h. Today’s chatter focuses on evidence, pricing relevance, and third‑party eval timing. Excludes all other model stories here to keep focus tight.
Jump to Feature: Claude Opus 4.5 imminent — leaks, pricing stakes, eval watch topicsTable of Contents
🚨 Feature: Claude Opus 4.5 imminent — leaks, pricing stakes, eval watch
Strong cross‑account signals point to an Opus 4.5 release within 24h. Today’s chatter focuses on evidence, pricing relevance, and third‑party eval timing. Excludes all other model stories here to keep focus tight.
Epoch and Poe leaks point to Claude Opus 4.5 launch on Nov 24
Multiple independent leaks now strongly suggest Anthropic will ship Claude Opus 4.5 around November 24, with both model registries and client apps briefly exposing it by name. Epoch AI’s "Notable AI models" table and CSV list a new Anthropic entry, "Claude Kayak", with a 2025‑11‑24 publication date, alongside GPT‑5.1 and Gemini 3 Pro epoch models table epoch csv leak. Screenshots from Epoch’s public AI‑models explorer show the same entry highlighted in the UI, tying the date to Anthropic’s language domain epoch web screenshot.
Separately, Poe briefly surfaced a private model card and invite screen for "Claude‑Opus‑4.5", accessible via a direct URL but not yet usable for chats, which lines up name‑wise with Anthropic’s flagship tier poe model card. Community trackers stitched these together into a release narrative, with several accounts framing Monday as "Anthropic’s turn" in the current model‑shipping wave release expectation. Others are already speculating about whether the new Opus will surpass Gemini 3 Pro in reasoning, especially on coding and math benchmarks opus vs gemini.
Builders warn Opus 4.5 must drop price or risk irrelevance
Ahead of the expected Claude Opus 4.5 launch, power users are openly worried that Anthropic will keep current Opus pricing while competitors undercut it on cost per token. One prominent engineer bluntly argues that if Opus 4.5 ships at the same tariff, it will be "completely irrelevant to the market situation" and mainly appeal to diehard existing users pricing complaint. Another thread riffs on the community’s obsession with a rumored ~80% SWE‑Bench Verified score, warning that an impressive benchmark won’t matter if the model is "10x more expensive than any reasonable person would pay" for day‑to‑day work swe bench cost rant.
These comments sit against a backdrop where GPT‑5.1 Pro and Gemini 3 Pro are already widely perceived as strong coding and reasoning defaults, with competitive or better pricing in many stacks gpt 5 1 sentiment gemini 3 ecosystem take. A separate chart of expert preferences on the GDPval benchmark shows current Claude Opus 4.1 trailing newer models like GPT‑5 and some o‑series variants, underscoring why Anthropic likely needs both a quality jump and a sharper price‑to‑value story to regain mindshare gdpval benchmark chart.
Community fixates on SWE‑Bench and METR scores for upcoming Opus 4.5
The expected Claude Opus 4.5 drop has turned into a scoreboard watch, with builders fixated on two numbers: SWE‑Bench Verified and METR’s safety evals. Threads joke that people have hyped an "80% SWE‑Bench Verified" result so many times that any lower score will be ignored, yet the same voices say they’ll dismiss it anyway if the model remains substantially pricier than peers swe bench cost rant. Another user half‑seriously complains that if METR publishes Claude 4.5 Opus results before updating Gemini 3, they’ll "crash out", highlighting how much weight the community now gives to third‑party safety and capability assessments metr timing worry.
This obsession comes as independent agents already push SWE‑Bench Verified close to 0.78 mean success with heavy tool use, showing how tight the top of the coding benchmark race has become swe bench agent result. For Anthropic, the bar is therefore higher than "just" beating Claude 4.1: Opus 4.5 will be judged on whether it can clear the informal 80% bar, look safe under METR’s lenses, and still compete on cost per solved issue in real repositories, not just on paper.
🧰 Coding agents in practice: Claude Code, Codex reliance, Grok Code
Hands‑on dev tooling updates and workflows dominated today: Claude Code weekly upgrades, Codex dependency debates, OpenAI’s engineering guide, Grok Code UI signals, and multi‑model prompting patterns. Excludes Opus 4.5 (see feature).
Claude Code 2.0.49 brings Azure, web background tasks, and richer subagents
Anthropic quietly shipped Claude Code 2.0.49, expanding it from a clever CLI into a more complete coding environment with Azure support, web background tasks, and smarter hooks/subagents. Following up on background tasks, where the CLI first got & to run jobs in the background, this release extends that idea to the web UI and tightens how agents reason about tools.

The new version adds Azure AI Foundry as a first‑class backend, so teams standardizing on Azure can point Claude Code at their own deployment instead of Anthropic’s default endpoint weekly roundup. The web search tool now cites its sources directly in the response, and a new PermissionRequest hook plus tool_use_id wiring lets you auto‑approve or deny tool calls with custom logic instead of manual clicking
. Subagents also get a boost: a built‑in “Claude Code Guide” subagent helps the main agent use its own tools correctly, skills metadata can auto‑load capabilities per subagent, and a SubagentStart hook opens room for per‑agent logging or policy release notes.
On the adoption side, Anthropic says they received hundreds of applications to host Claude Code meetups, and they’re scrambling to scale that program meetup interest. The company is also seeding usage by dropping $250 in credits into accounts for people to try Claude Code on the web before a deadline credits popup. For AI engineers, the message is clear: Anthropic is hardening Claude Code into a primary surface for multi‑tool coding, not a sidecar demo.
Developers admit near‑total dependence on Codex and want an open fallback
Several heavy users say their productivity now depends so much on OpenAI’s Codex stack that they “might as well not use” their computer when it’s down codex dependence. Following an outage earlier this week codex outage, the mood has shifted from excitement to mild panic about having a single proprietary point of failure for day‑to‑day coding.
One engineer jokes that if Codex goes down on a Monday morning it’s “electric boogaloo Vitalik butererian jihadi 2 time,” which is their way of saying they’ll be dead in the water outage worry. The same person calls themselves “spiritually against dependencies to this degree,” but concedes Codex is so far ahead of alternatives that they keep using it while wishing for a local, open‑source replacement dependency concern. Others treat “Kodex” almost like a beloved editor, thanking its creator daily kodex praise and calling it “the thinking man’s LLM” for coding kodex tagline.
For AI leaders, the signal is twofold: Codex‑class agents are already integral to real workflows, and teams now feel the risk concentration. That makes a credible open or self‑hosted coding agent—good enough to cover a Codex outage, even if slightly worse—look like an increasingly urgent investment, not a side project.
MCP ref‑tools and Exa shrink agents’ doc context from 10k+ to ~2.8k tokens
Ray Fernando showed how two Model Context Protocol servers—ref-tools and Exa’s search API—can offload documentation from the main context window in Claude Code, Cursor, and Codex‑based stacks mcp walkthrough. By moving doc retrieval into tools, he cut a Tailwind project’s doc footprint down to roughly 2,800 tokens, instead of stuffing tens of thousands of tokens of Markdown directly into prompts.
The workflow is: configure ref-tools to index repo docs and exa to hit the web, wire them into Claude Code and Cursor, then drive the agents with AGENTS.md‑style project instructions so they call tools instead of asking you to paste docs agents spec. A follow‑up thread packages this as "Two MCPs that save your context window," positioning them as drop‑in upgrades for any coding agent that speaks MCP mcp summary. For engineers running into context limits or high token bills, this pattern turns documentation into just‑in‑time lookups rather than permanent baggage, without giving up the agentic coding experience.
Multi‑model “LLM Council” ensembles show gains over single frontier models
Karpathy’s "LLM Council" idea—running several models as advisors with a chair model synthesizing the answer—is getting independent backing from builders who’ve tried similar ensembles for months llm council mention. Following its first appearance as a coding pattern llm council, one engineer shared benchmarks where a multi‑turn composite model labeled "Advanced Ensemble" outperforms GPT‑4o, Claude 3.5 Sonnet, Llama 3.1‑405B, and Gemini 1.5 Pro on MMLU‑Pro, GPQA, and even a NYT‑style puzzle dataset
.
They argue this isn’t magical so much as systematic: critique‑style prompting plus cross‑model voting yields “something significantly smarter than any single model,” at the cost of speed and API spend ensemble comment. For AI engineers, the implication is that your real ceiling today may be your ensemble design, not the single best model. A council pattern—especially for hard planning or debugging tasks—can buy you a noticeable quality bump before the next model generation arrives.
OpenAI publishes a practical playbook for AI‑native engineering teams
OpenAI released a detailed guide on "Building an AI‑native engineering team" that treats coding agents like Codex as core team members across the SDLC rather than autocomplete toys guide overview. The document walks through how agents can participate in planning, design, implementation, testing, code review, and deployment, and how human engineers’ roles shift when that happens OpenAI guide.
A Nano Banana Pro infographic based on the guide shows an “AI‑powered SDLC” loop where agents draft features, generate tests, and run initial reviews while humans set direction, own primitives, and handle tricky logic
. The emphasis is on long‑running, context‑rich agents that remember design decisions and telemetry, not one‑off prompt calls. For leads, the takeaway is that you should treat agents as a new layer in your architecture—give them structured context, explicit scopes, and clear handoff points—instead of sprinkling chatbots into existing processes and calling it done.
Grok Code surfaces in X UI, hinting at an imminent coding agent
xAI quietly added a "Code" entry to the left navigation of the SuperGrok interface, strongly suggesting a dedicated Grok Code experience is close to launch
. The screenshot shows Code listed alongside Search, Chat, Voice, and Imagine, with an @testingcatalog tag that implies it’s in limited testing.
There’s no public feature list yet, but given Grok 4.1’s strong reasoning credentials and xAI’s close integration with X, engineers are expecting something in the Cursor/Claude Code vein: an agent that can read repositories, run tools, and answer questions inside a developer‑focused workspace. If you build on X’s ecosystem, this is a good moment to think about how a Grok‑powered coding surface might fit into your stack next to Codex, Claude Code, and Gemini‑based tools.
Plan Mode becomes a best‑practice default for Claude Code
Practitioners are starting to standardize around running Claude Code in Plan Mode by default, so the agent proposes a full edit plan before touching any files. A simple .claude/settings.json snippet lets you flip this globally: "defaultMode": "plan" under permissions
.
People who’ve been coaching teams on agent workflows say having a read‑only “plan” step up front is not a nice‑to‑have but a prerequisite for safe large changes; one consultant notes they pushed clients to add a plan view in mid‑2024, only to see them recognize the value later when they saw Claude’s implementation plan mode anecdote. For AI engineers, turning on Plan Mode by default means you get a deterministic diff proposal, can review it like a PR, and only then let the agent execute—much closer to how humans already work with code reviews.
🖼️ Reasoning images as a UI: Nano Banana Pro workflows
A flood of image‑reasoning demos: solving exam pages in situ, converting YouTube to infographics, reproducible stamps, deepdream, location‑anchored shots, and one‑shot sprite/GIF apps. Continues Gemini image momentum from prior days.
Nano Banana Pro now solves full exam pages directly in the image
Gemini Nano Banana Pro is being used to solve physics, chemistry, and AP Calculus questions directly on scanned exam pages, writing steps and final answers in situ with human‑like handwriting. exam page demo shows a Modern Physics and Chem 121 final filled out end‑to‑end, which another model then cross‑checks, flagging only minor naming and spelling issues, while calculus frq example documents a correctly worked AP Calculus FRQ including improper integrals and integration by parts. For AI engineers this is a concrete proof that image input plus layout awareness is enough to turn any document into an interactive problem‑solving surface, without needing structured PDFs or LaTeX.
AI‑generated SpriteCraft app turns Nano Banana sprite sheets into GIFs
Using Gemini 3 Pro’s "build" flow, a developer asked AI Studio for a small web app that converts Nano Banana sprite sheets into animated GIFs, and got a working tool—SpriteCraft AI—in effectively one shot spritecraft interface. The app takes a prompt plus optional reference image, calls Nano Banana to generate a 4×4 pixel‑art sprite sheet, lets you scrub through the 16 frames on a timeline, and then exports a looping GIF at a selectable frame rate spritecraft reflection. Another tweet shows the same workflow wired to an uploaded photo of a child, producing a personalized game‑style avatar animation without manual coding sprite gif demo. The author open‑sourced the code and notes that non‑technical family members immediately started using the app, underlining how easy it’s becoming to spin up micro‑tools where image reasoning models are both the content engine and the UI.
DeepDream‑style hidden text and contrast‑driven scenes return via Nano Banana Pro
Artists are using Nano Banana Pro to resurrect DeepDream‑era visuals, but with explicit control over hidden words and scene structure. One prompt asks for a DeepDream landscape where the word “fofr” subtly appears many times; the generated image tucks the text into foliage, clouds, and textures while preserving a coherent outdoor scene deepdream style scene. Follow‑up prompts treat grayscale contrast maps as blueprints, asking Banana to paint townscapes whose building edges and spirals match the original intensity patterns contrast town painting. Others push word‑as‑scene experiments further, having the model embed “calm” into the silhouettes of hills, bridges, and reflections so the letters only appear when you squint word formed by landscape, and even cast the DeepDream aesthetic into real bronze‑like sculpture installed in a plaza deepdream sculpture. This cluster of demos suggests the model can treat text and contrast not just as content to label, but as geometry that drives composition.
YouTube‑to‑infographic and textbook slide workflows mature around Nano Banana Pro
Builders are standardizing on a pattern where Gemini fetches a YouTube video or textbook chapter, analyzes it, and then has Nano Banana Pro render bespoke infographics or slide decks on top of that understanding, extending the "infographic engine" pattern from infographic engine. One workflow copies a YouTube URL into Gemini, asks for an analysis, then prompts “Generate an image of an infographic explaining the concept presented in the video,” producing fully designed teaching posters in one shot youtube infographic demo. Others feed whole statistics chapters plus 3Blue1Brown videos into NotebookLM, then auto‑generate multi‑slide decks that visually explain CDFs, discrete vs continuous expectations, and normal‑distribution standardization using clean annotated graphics stats slide deck. Power users are layering prompts like “turn this table into a cartoon diagram” or “Da Vinci sketch of this mechanism” to morph the same underlying math or physics into multiple visual styles for different audiences equation infographic, davinci diagram .
Crayon color test shows Banana Pro handling mirrored stamps and typography
A small but telling demo has Nano Banana Pro recreating a Stroop‑style worksheet where color words are written in mismatched crayon colors and four wrong ones are stamped with a red "Wrong!" rubber stamp, complete with a correctly mirrored "!gnoW" on the stamp itself color stamp puzzle. The model respects per‑item color constraints (e.g., “write ‘ORANGE’ in green crayon”), places the stamp only on the intended lines, and preserves the physical consistency of how a real stamp would look when pressed vs when seen as an object on the table. For people designing visual agents and grading UIs, this shows the image model can follow fine‑grained, object‑level logic (ink direction, stamp mirroring, local color rules) rather than just painting a vague scene.
GPS coordinate prompts place characters at real‑world landmarks
Prompting Nano Banana Pro with explicit latitude/longitude now yields images where a reference character appears at the correct landmark, building on earlier geo‑grounded prompts geo prompts. One user asks: “Take this character and place him to coordinate 37.4221° N, 122.0853° W, 1:1 aspect ratio,” and gets a selfie‑style shot on the Googleplex lawn with Android statues and the Google logo in the background googleplex coordinate demo. Changing the coordinates to 48.8584° N, 2.2945° E moves the same stylized character in front of the Eiffel Tower, with plausible Parisian landscaping and signage googleplex coordinate demo. For agent builders, this hints at a simple way to route from geospatial data to plausible on‑site visuals, whether for map previews, location‑based stories, or AR mockups.
Nano Banana Pro powers multimodal eval UIs and complex prompt grids
Beyond demos, people are starting to wrap Nano Banana Pro into tooling for building and grading multimodal benchmarks. At a recent AIE × Cerebral Valley hackathon, one team built a multilingual, multimodal eval UI where the system uses Nano Banana to generate intricate test images that other models must describe, classify, or reason about; the interface then aggregates scores across models and prompts multimodal eval ui. Separately, prompt designers share repeatable templates like “Make a 4×4 grid starting with the 1880s… I should appear styled according to that decade in each section,” which Banana executes faithfully with era‑correct fashion, backgrounds, and even film grain structured prompt grid. This reinforces the idea that for eval designers and prompt engineers, image models aren’t just output generators—they’re becoming programmable fixtures that define the test itself.
Ripped‑paper puzzle shows Nano Banana reconstructing scrambled sentences visually
A clever “ripped paper” test has Banana 2 Pro take an image of torn notebook strips with reversed, partial words and reconstruct the original sentence as a clean, centered line of handwriting: “THE CAT BALANCED DELICATELY ON THE EDGE OF THE WOODEN FENCE” ripped sentence puzzle. The input shows three narrow vertical scraps with upside‑down text fragments like "CAT", "BALAN", "LY ON", "THE", "OF", "NDEN", and the model must both read mirrored characters and infer the correct word order before re‑rendering the full sentence on a fresh sheet. For people thinking about document forensics, data entry, or accessibility tooling, it’s a neat proof that you can hand the VLM a single messy photograph and get back a normalized text representation without hand‑crafted OCR pipelines.
Single‑prompt 4×4 decade grids keep identity while shifting era style
Another emerging pattern is “timeline grids” where a single prompt asks Nano Banana Pro to depict the same person across 16 squares, one per decade from the 1880s onward, changing clothes, film stock, and background aesthetics while preserving facial identity. In one example the subject appears as a Victorian gentleman in a top hat, then a 1920s gangster, a 1960s psychedelic figure, an ’80s synthwave guy with mullet and neon grid, all the way to a 2030s cyberpunk look with glowing visor decade grid example. Identity is stable enough that you can believe it’s the same person cosplaying history, which is useful for personal branding, timelines in educational content, or quick explorations of "what would this character look like in year X" without writing 16 separate prompts.
🧩 MCP everywhere: context-savvy tools and broader access
Interoperability and context management advances: MCP servers and quotas widen access, with concrete tutorials to tame context windows. Excludes general coding‑agent UX (covered separately).
Z.AI opens MCP web search/reader/vision to all GLM Coding Plan tiers
Z.AI is widening access to its Model Context Protocol stack by letting every GLM Coding Plan tier, including the $3/month Lite plan, use MCP-based web search, web reader, and vision tools with fixed monthly quotas (100/1,000/4,000 calls by tier) and a shared 5‑hour vision "prompt resource pool". glm plan quotas This builds on the earlier release of a dedicated Web Reader MCP server for full‑page extractionweb reader mcp and the new Vision MCP server that handles both image and video understanding via the @z_ai/mcp-server package for Node 22+. vision mcp docs
For AI engineers, the big change is that you can now test and even run modest MCP-powered agents (retrieval, browsing, screenshot/video analysis) without committing to higher GLM plans, which lowers the barrier to experimenting with MCP tooling inside Claude Code, Codex, Cursor, or custom MCP clients. Since the quotas are per-plan rather than per-tool, teams will want to budget which MCP servers (web search vs reader vs vision) get called from which workflows, and consider using Lite accounts for development and smoke-testing while reserving Pro/Max for heavier agent runs. glm pricing page
Ref-tools and Exa MCPs shrink doc context to ~2.8k tokens in coding agents
Ray Fernando shared a practical walkthrough showing how two MCP servers—ref-tools for repo/file references and Exa.ai for web search—can offload documentation and reference text from the model context, cutting one of his projects from a huge doc footprint down to about 2,800 tokens while still giving agents everything they need to work. mcp tools demo
The video walks through wiring these MCPs into Claude Code, Cursor, and other MCP-capable coding agents so that docs are fetched on demand instead of being preloaded into every prompt, and pairs this with AGENTS.md/CLAUDE.md style instruction files to keep long-lived project guidance outside the main window. agents guide For AI engineers wrestling with context limits, the takeaway is straightforward: move static docs and large references behind MCP tools, then keep the context window for live code, plans, and diffs, which both reduces token burn and makes it easier to reason about what the model actually "sees" on each step.
📊 Practical evals: tasks, sanity checks, and model head‑to‑heads
Mostly community tests today—less formal than MLPerf but valuable for product decisions. Visual grounding, agentic retrieval, and task reliability dominate. Excludes LMArena media leaderboard (covered in Gen‑Media).
Gemini 3 Pro beats GPT‑5.1 Thinking in “Santa Agent” toy‑catalog test
A small but telling head‑to‑head: given a Walmart toy catalog page photo and asked to list every toy a 2.5‑year‑old wants from Santa, Gemini 3 Pro correctly identified all items, while GPT‑5.1 Thinking missed the Spider‑Man RC monster truck twice even after being asked to self‑check its work. santa agent comparison The test uses a single multimodal prompt over the scanned page, with Gemini linking out via Google search results and GPT‑5.1 providing direct Walmart product URLs. santa agent comparison
The miss is subtle but important: GPT‑5.1’s chain‑of‑thought recognizes an earlier mistake but still fails to spot the missing truck on re‑inspection, illustrating how small perception gaps can compound over longer autonomous tasks. santa agent comparison The author also notes neither model tried to follow the QR code on the page, instead relying purely on text and layout, which hints at current limits in “tool‑use by sight” even for top models. qr code note Coming after Gemini 3 Pro’s strong formal vision‑tool results on VisualToolBench, visual tools this kind of concrete “Santa Agent” sanity check is exactly what product teams will need to understand real‑world failure modes before delegating shopping, logistics, or catalog navigation to agents.
Nano Banana Pro reliably solves printed crosswords from photos
Builders are stress‑testing Gemini’s Nano Banana Pro image model on puzzle sheets and finding it can fill entire crosswords directly on the page image in a couple of minutes. crossword demo In one demo, three mini crosswords are solved end‑to‑end in red pen overlays, including interpreting abbreviations like “U.C.L.A. athlete” and multi‑step wordplay such as “5‑Down + 7‑Down” for a composite answer. crossword demo
A second run has Banana Pro render the same crosswords as illuminated‑manuscript‑style illustrated grids, again with all entries correct, while still failing a separate request to generate a valid maze, which gives a nice sense of where its spatial reasoning is stronger (grid‑aligned word constraints) and weaker (global path topology). crossword illustration For AI engineers, this is a practical check that Banana‑class VLMs can parse low‑res printed text, small clue lists, and arbitrary handwriting well enough to support document‑level assistants—without yet trusting them for more global graph‑like puzzles.
Nano Banana Pro solves AP Calculus FRQ directly on exam image
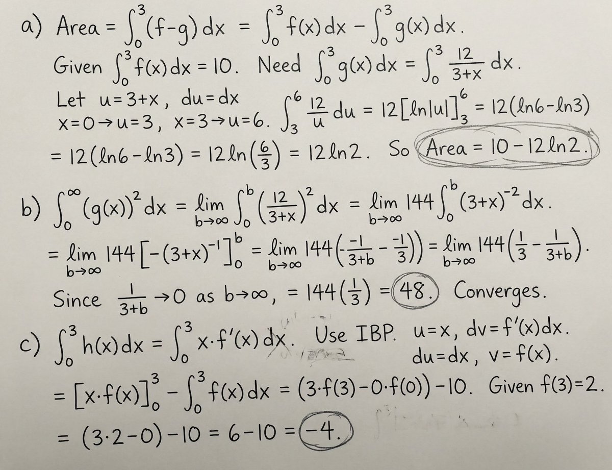
In another exam‑style test, Nano Banana Pro correctly answers a full AP Calculus free‑response question (FRQ) by writing its solution steps directly onto the scanned exam page. ap calculus solution The problem asks for area between curves, convergence of an improper integral of g(x)^2 where g(x)=12/(3+x), and an integral involving h(x)=x·f′(x), with the model deriving expressions like 10−12ln2 for the area and 48 for the integral’s convergent value.
The handwritten work shows proper u‑substitution, change of limits, and integration by parts, matching the College Board‑style rubric in both technique and final answers. ap calculus solution For AI teams, this is a concrete vision‑plus‑symbolic‑math sanity check: it demonstrates that document‑level understanding can carry through multi‑step calculus reasoning, but also foregrounds obvious policy implications for online proctoring and exam design when commodity tools can operate “inside” the exam image.
Community uses Stroop‑style prompts to sanity‑check visual reasoning
Several Nano Banana Pro image prompts this week riff on the classic Stroop test—mismatching color words and ink—to probe how well models track symbolic vs visual information. stroop color sheet One example asks for a numbered list of color names written in crayons, with four intentionally mismatched (e.g., “ORANGE” in green crayon), and a physical rubber stamp labeled “Wrong!” used only on the incorrect entries; Banana Pro nails the semantics, even mirroring the reversed text on the stamp head correctly. stroop color sheet
That led to a broader comment that modern LLM+VLM systems effectively “pass the Stroop test”, but that this task was never cognitively hard for machines because they don’t suffer human‑style interference between reading and color naming. stroop discussion As sanity checks go, these setups are cheap to run yet informative: they confirm models can bind three things at once—symbolic labels, visual attributes, and meta‑annotations like stamps—without confusing which feature is being supervised.
Word‑illusion images test Nano Banana Pro’s control over hidden text
Prompt artists are pushing Nano Banana Pro to embed whole words as compositional structure, not just printed text, as a way to test its fine‑grained spatial control. word illusion images One “word test” prompt asks for a landscape whose foreground shapes spell the word “calm”; Banana generates two different scenes where hills, ruins and river curves jointly form legible C‑A‑L‑M from a distance, while still reading as natural scenery up close. word illusion images
These experiments build on earlier deepdream‑like styles with repeated hidden “fofr” text and even a large sculpture made of swirling dog‑faces hiding words in its geometry, all guided only by textual prompts. deepdream landscape , deepdream sculpture For evaluators, this is lightweight but useful signal that the model can coordinate global layout and semantic intent, which matters if you want to trust it with charts, logos, or typographic infographics where mis‑shaped letters can turn into misinformation or brand issues.
📑 New research: activations, diffusion reasoning, distilled data
A strong papers day: interpretability of genre signals, where diffusion LLMs “think,” dataset distillation for vision probes, denoising targets, grammar scoring via pseudo‑labels, and a taxonomy for AI consciousness objections.
MIT distills self‑supervised vision datasets to one synthetic image per class
An MIT team introduces Linear Gradient Matching (LGM), a dataset distillation method that compresses large self‑supervised vision datasets into as little as one synthetic image per class, while keeping linear‑probe accuracy close to training on all real images paper thread. They freeze a strong SSL backbone (e.g., DINO), then optimize a small set of multi‑scale synthetic images so that gradients from random linear classifiers on synthetic vs real data align; the distilled sets generalize across backbones and shine on fine‑grained classification, while also exposing what the model actually attends to.
New taxonomy maps objections to conscious digital AI across three levels
A conceptual paper from collaborators at AE Studio, Rethink Priorities, Tartu, and Montréal lays out a framework for classifying challenges to “conscious” digital AI systems along Marr’s three levels: behavior (I/O), algorithms, and physical implementation paper summary. It distinguishes objections that reject computational functionalism entirely from those that accept it but still deny that digital hardware can realize the right structures, categorizes 14 prominent arguments by their target level and strength (improbable vs impossible), and gives researchers a shared map for specifying which assumptions they’re attacking in debates about machine consciousness.
Denoising models work better when they predict the clean image, not the noise
A theory‑plus‑empirics paper argues that modern diffusion image models are solving the harder problem by predicting additive noise, and that training them to predict the clean image directly is both easier in high dimensions and more parameter‑efficient paper thread. On toy data and ImageNet at 256–512px, simple "Just image Transformers" that operate on large pixel patches only work well when trained with clean‑image targets; noise and velocity targets become unstable as dimensionality grows, suggesting future high‑res generators can lean on straightforward Transformers in pixel space if they return to classic denoising.
Diffusion LLMs “think” inside short high‑uncertainty confusion zones
Researchers analyzing diffusion‑style LLMs for reasoning find that only a small subset of denoising steps—their "dynamic confusion zones" where entropy and confidence margins spike—actually determine whether a math or logic answer ends up correct paper thread. Existing RL methods sample steps uniformly along the denoising trajectory; the proposed Adaptive Trajectory Policy Optimization (ATPO) instead concentrates policy gradients on these confusion segments, improving reasoning accuracy and training stability on math/logic benchmarks without changing rewards or compute budgets.
Genre information is linearly readable from Mistral‑7B activations
A new interpretability paper shows that hidden activations in Mistral‑7B strongly encode text genre, to the point where simple classifiers reach ~98% accuracy on synthetic data and ~71% on a labeled web corpus when predicting coarse genres like instruction, explanation, story, or code from a single averaged layer vector paper summary. Probes on a randomly initialized model perform much worse and genre information grows in deeper layers, arguing that high‑level style and discourse structure live in mid‑to‑late activations, and that small linear models can reliably read them out for control, safety, or monitoring.
LLM pseudo‑labels enable zero‑shot grammar scoring that matches human raters
A framework from SHL Labs shows you can build a robust grammar‑competency scorer for spoken and written answers without any expert‑graded training data, by having a large model assign 1–5 grammar scores that become noisy pseudo‑labels for a smaller transformer paper thread. Training explicitly down‑weights examples the student model predicts poorly (to cope with label noise) yields grammar scores that align with human raters better than using GPT‑4 directly or naively treating all pseudo‑labels as clean, across both speech and writing tests.
🏗️ AI power and capex: electricity as the next constraint
Infra threads focus on electricity and capex required for AI growth. Concrete signals today include hyperscaler spend cadence and regional power build‑outs. Model launches excluded here.
OpenAI and Broadcom plan 10 GW of custom AI accelerators by 2029
OpenAI and Broadcom announced a multi‑year deal to co‑design and deploy 10 gigawatts of OpenAI‑branded accelerators, to be rolled out between 2H 2026 and the end of 2029 across OpenAI and partner data centers. Broadcom collab Following Stargate wafers, where OpenAI pre‑bought DRAM at wafer scale, this is another move to lock in the entire AI stack from memory to compute. OpenAI blog post The chips will integrate tightly with Broadcom Ethernet and are explicitly described as embedding "what we’ve learned from creating frontier models and products directly into the hardware", which signals a push to escape NVIDIA pricing, control power efficiency, and secure long‑term capacity for GPT‑class models without depending on merchant GPUs.
Hyperscalers are now spending $20–30B per quarter on AI‑heavy data centers
A capex breakdown shared today pegs leading cloud providers at $20–30B of data‑center capex per quarter, with commentary that everyone is now pre‑buying power, land, and silicon to secure AI capacity ahead of time. capex snapshot
Taken with earlier remarks that AI capex is still only ~1% of global GDP but rising fast AI capex, this suggests infra leads should plan for a world where access to grid connections and substation upgrades, not model quality, decide who can serve the next wave of AI workloads.
China’s surging power demand fuels fears that electricity, not chips, will cap AI
A new chart of global electricity use shows China has added more demand in recent years than India, the EU, or the US, with consumption climbing toward ~9,000 TWh while Western demand is flat or declining, prompting the claim that power will be AI’s tightest constraint rather than GPUs. electricity thread
For infra planners this reinforces that cheap, abundant power is now a strategic advantage in the AI race: regions that can scale generation and transmission fastest will control where the biggest training clusters and inference farms can actually be built.
Helion’s first fusion plant targets 85% electricity conversion for future AI loads
Helion’s CEO described plans for what they call the first commercial fusion plant, aiming to go live in about 3 years, using pulsed deuterium–helium‑3 fusion that pushes charged particles directly against magnetic fields tied to capacitor banks instead of a steam turbine loop. fusion thread
The design claims up to ~85% efficiency from fusion energy to electrical output, far above traditional heat engines, and produces high‑voltage DC that could feed data‑center rectifier buses with fewer conversions—making it explicitly attractive for AI clusters hungry for dense, controllable power Brookfield plan. While still speculative, infra teams watching multi‑GW AI campuses should track these fusion timelines alongside more conventional grid and renewables build‑outs.
🤖 Mobile manipulation and teleop: real‑world wins and price drops
Not just hype videos—today’s robotics items include world‑record endurance via hot‑swap batteries, low‑latency force‑feedback teleop, a capable $600 home bot, and a high‑DOF tactile hand.
Agibot A2 sets 106 km Guinness record with hot-swappable batteries
Agibot’s A2 platform drove 106.3 km from Suzhou to Shanghai on a single run, earning a Guinness World Record and showcasing continuous operation via battery hot‑swapping instead of charging downtime Agibot record thread. This kind of endurance at real‑world speeds is exactly what logistics, security, and facility‑ops teams need if they want robots outside labs and short demo loops.
For mobile manipulation and teleop stacks, the interesting part isn’t just the distance number. A hot‑swap design means you can treat batteries like consumables in a pit stop: a worker or upstream robot can swap packs in seconds, while the autonomy stack preserves mission context. That makes it much easier to imagine fleets that patrol entire campuses overnight or shuttle goods between buildings all day with minimal human babysitting, and it sets a clear bar for other vendors still relying on long wall‑charge cycles.
Aloha Mini: open-source $600 home robot tackles real chores
The Aloha Mini is a roughly $600 open‑source home robot that combines dual 3D‑printed arms, an omni‑directional base, and LeRobot‑style teleop + imitation learning to handle tasks like sock pickup, wiping surfaces, opening a fridge, and even toilet scrubbing Aloha Mini overview. It’s explicitly positioned as a low‑cost platform for home robotics, not a closed demo rig.
For AI builders, this hits two important notes at once. First, it shows that you can get a reasonably capable mobile manipulator—with arms, not just a vacuum—into hobbyist or small‑lab price territory, which changes who can collect data and run experiments. Second, because the stack leans on teleoperation and imitation, every household task you record becomes training data for policies you can iterate on. If you’re exploring domestic manipulation or looking for a standardized low‑end platform to benchmark agents on real chores instead of simulation, Aloha Mini is worth tracking and possibly standardizing around in your lab.
SharpaWave dexterous hand shows human-level trash-bag manipulation
The SharpaWave robotic hand demonstrates putting a trash bag onto a small, wobbly bin with very human‑like dexterity, finding the rim, opening the bag, and wrapping it neatly despite the deformable, slippery material SharpaWave description. Specs are serious: 22 degrees of freedom, >20 N force per fingertip, >4 Hz motion, a dynamic tactile array, and backdrivable, compliant joints rated for about a million cycles SharpaWave description.
For mobile manipulation stacks, this is a concrete example of the kind of end‑effector you need if you want general household or facilities tasks instead of staged pick‑and‑place. The geometry is 1:1 human, with a golden‑ratio palm‑to‑finger design, and the tactile array plus compliance means policy heads can lean on real contact sensing instead of vision alone. If you’re designing teleop + imitation pipelines, or choosing hardware for home robots, this shows that robust, product‑grade dexterity for deformable objects is starting to move from research papers into hardware you can actually deploy and iterate on.
Humanoid teleop demo pairs low latency with high-fidelity force feedback
A new humanoid teleoperation demo shows an operator controlling a robot hand in near real time while feeling detailed force feedback from contacts, yielding very natural, precise mirroring of human motion teleop demo. This kind of closed loop is what you want if you’re collecting high‑quality manipulation data or running remote work scenarios where mistakes are costly.
For AI engineers, the takeaway is that teleop rigs are maturing from “joystick with delay” into rich sensorimotor interfaces. Low latency plus force feedback lets operators do fine alignment and adjust grip based on feel, which in turn produces cleaner trajectories and contact profiles for imitation learning and RL. If you’re training manipulation policies or planning remote operations (surgery, hazardous maintenance, disaster response), this is the kind of hardware‑software stack you’d watch and try to plug your own policies into over time.
🛡️ Agent security and social impact: prompt injection and labor risk
Defense research and policy warnings trend today: a taxonomy/eval for indirect prompt injection defenses, and a Senator’s forecast of recent‑grad unemployment spikes tied to AI displacement.
Sen. Mark Warner warns recent‑grad unemployment could hit 25% from AI displacement
US Senator Mark Warner is warning that unemployment among recent college graduates could spike to around 25% within 2–3 years if AI‑driven job displacement isn’t managed, calling the potential shock “unprecedented” and tying it to the collapse of many entry‑level knowledge‑work roles. warner warning Current recent‑grad unemployment is already about 9.3%, well above rates for experienced degree‑holders, and Warner argues AI is compressing the early career ladder so fewer workers ever reach mid‑career stability.
For AI leaders and infra planners, this isn’t just macro commentary; it telegraphs the kind of regulation and reporting expectations you should anticipate—more pressure for transparency about which roles are being automated, stronger obligations around retraining, and scrutiny of deployments that eliminate junior positions without clear transition plans. The takeaway for anyone deploying large‑scale agents into customer service, back‑office ops, legal, or finance is to treat workforce impact planning as a first‑order design constraint, not an afterthought, because policymakers are now anchoring concrete numbers and timelines to AI‑driven labor risk rather than speaking in abstractions.
New taxonomy shows many “secure” prompt‑injection defenses are still exploitable
A new paper systematically compares six major classes of defenses against indirect prompt injection (IPI) in LLM agents and finds that widely used frameworks still have exploitable gaps, then introduces three tailored attacks that can make some defended agents up to four times easier to compromise. paper overview It organizes defenses by how they constrain tools, data channels, judges, and rules, then shows recurring weak spots around tool control, data separation, judge reliability, and incomplete rule coverage.ArXiv paper
For teams building browser, file, or web‑API agents, the message is that ad‑hoc filters and high‑level “safety wrappers” aren’t enough: the authors demonstrate concrete attack patterns that tunnel through guardrails many people consider best practice, and they propose a taxonomy you can map your own stack onto to see where you’re exposed. Following up on prompt benchmark, which showed a three‑layer defense stack could cut successful IPI attacks below 9%, this work undercuts any sense that the problem is solved and suggests you should re‑evaluate your agent design against their categories and stress‑test with their stronger attacks rather than only relying on your own red‑teaming.
💼 Platforms and distribution: Google’s reach, traffic spikes, pricing moves
Analyst threads emphasize distribution moats and usage: Gemini traffic highs, Google platform bundling, and budget‑friendly coding plans. No model release rumors here (see feature).
Google frames Gemini as a 650M MAU product with TPU cost edge
An analysis thread argues Google’s real advantage isn’t just model quality but distribution: bundling Gemini into Search, Android, and Workspace yields an estimated ~650M monthly active users, versus ChatGPT’s ~800M weekly actives. distribution analysis
The same thread points out that running Gemini on TPUs avoids NVIDIA’s pricing premium, tilting dollars‑per‑token in Google’s favor and making it easier for them to offer cheap or free tiers at scale. For AI leaders this sets the competitive frame: OpenAI can’t easily win on price, scale, or built‑in reach, so its counterplay has to be capability and vertical depth, while Google’s play is “good enough frontier models everywhere” plus stronger unit economics.
Gemini website traffic hits ~55M daily visits after 3.0 launch
Similarweb data shared by builders shows Gemini’s site hitting an all‑time high of roughly 55M daily visits immediately after the Gemini 3 release, up from a pre‑launch band around the low‑40M range. similarweb traffic
For AI teams this is a hard signal that Google’s distribution push is working: even before accounting for mobile apps or Workspace integrations, the web surface alone is now in the same ballpark as top consumer AI tools. It also means any Gemini‑powered experiences you build are riding a traffic wave that is still climbing, not flattening, which matters if you’re picking a default assistant or embedding provider for mainstream users.
GLM Coding Plan markets $3 Lite tier with MCP and big savings vs Sonnet
Zhipu’s GLM Coding Plan is being pushed as a budget‑friendly alternative to US APIs: a Lite tier starting around $3/month now includes 100 web search/reader calls plus access to a 5‑hour vision prompt pool, while Pro and Max scale that to 1,000 and 4,000 calls. glm quotas thread
One user shows a multi‑hour coding session costing $15.30 on GLM‑4.6, noting that equivalent usage on Claude Sonnet would be far more expensive, and calling $3/month "a bargain" for everyday coding. glm coding usage For engineering managers, the takeaway is that Chinese providers are starting to combine near‑frontier coding quality with subscription‑style pricing, which could make them attractive for cost‑sensitive teams willing to work through GLM’s docs and ecosystem. You can see the current plans and quotas in the official subscription page. glm pricing page
Grok analysis finds users leaning toward Perplexity Comet over ChatGPT Atlas
xAI’s Grok 4 was used to analyze the top 100 comments on a poll asking people to compare Perplexity Comet with ChatGPT Atlas; the summarised report says respondents more often favor Comet, citing relevance and browsing, with Atlas winning on UI in a minority of takes. grok sentiment thread
The same user praises how tightly Grok is integrated into X itself, highlighting that this kind of in‑context analysis of replies is a distribution play as much as a model feature. For AI product folks, it’s a reminder that discovery and usage are moving into social feeds and chat surfaces: Comet’s momentum is being measured by a competitor’s model, inside a third platform, and all three are competing to be the default way users “browse with AI” rather than visit standalone sites.
NotebookLM notebooks are starting to show up as a data source inside Gemini
A new Gemini web UI screenshot shows "NotebookLM" appearing as a selectable context source in the sidebar, hinting at an in‑product option to import research notebooks directly into Gemini chats. gemini ecosystem tease
If this ships broadly, it tightens Google’s internal loop between long‑form research (NotebookLM) and day‑to‑day assistants (Gemini), which is interesting for teams that already park PDFs, transcripts, and web sources in NotebookLM. Instead of wiring your own RAG stack, you may get a first‑party, cross‑product context layer that follows users from research to chat and back, making Google’s ecosystem stickier without any extra infra on your side.
🎙️ Voice UX rethink: strong models over speed, fewer theatrics
Multiple posts critique current voice modes (too shallow, over‑anthropomorphized). Calls for higher‑quality reasoning even with pauses, and disabling giggles/breathing to suit real work.
Builders argue AI voice should use strong models, even if it pauses
Practitioners are pushing back on current AI voice modes that default to fast, low‑capacity models, arguing that serious work needs the same frontier models people use in text, even if that means noticeable pauses between replies. One researcher notes that voice has been "semi‑abandoned for serious use" because vendors optimize for zippy back‑and‑forth instead of deep reasoning voice workflow critique.
They suggest treating voice as a work interface, not a social toy: pauses while the model thinks are acceptable or even preferable, as long as the answer is materially better pauses for work. This thread also calls out that most UX today is stuck in the "chat with a friend about the weather" pattern, and invites exploration of alternative interaction designs built around planning, task execution, and structured output rather than idle conversation voice dead end.
Users want AI voice to drop breathing, giggles, and fake disfluencies
There’s growing frustration with how current AI voice modes lean into anthropomorphic tics—breathing sounds, giggles, and filler disfluencies—that slow down conversations and feel ingratiating during serious discussions anthropomorphism critique. The argument is that while a bit of human‑like tone can help in casual chat, it becomes a tax on attention when you’re trying to reason through complex work.
Several posts call for simple controls to disable these affectations and switch to a more direct, concise delivery style, especially when paired with higher‑capacity models voice workflow critique. The broader point is that voice UX should prioritize clarity, speed of understanding, and user control over vibes, so assistants feel like sharp tools rather than overeager companions voice dead end.


